台北捷運新莊線CK242標
菜寮站連續壁試驗單元評估與分析

□何啟誠/臺北市政府捷運工程局北區工程處 規劃師

一、前言

        臺北捷運新莊線CK570C區段標工程為確保連續壁之施作安全,於契約中要求廠商於整體連續壁施工前,應於工區內挑選某區域先行佈設監測儀器及進行連續壁測試,以觀測及紀錄連續壁施築過程中之壁體穩定度、地表沉陷情形是否造成鄰房傾斜等狀況,以作為後續連續壁施工參數之參考。
        現擬就臺北捷運新莊線CK570C區段標中所屬菜寮站連續壁測試單元之施作成效做一報告,以供各位工程先進參酌。

二、案例基地概況

        臺北捷運新莊線CK242標菜寮站位於三重市重新路三段上,其主體工程包含站體、橫渡線、三個出入口及二個通風井(詳圖一),車站主體為地下二層之鋼筋混凝土結構,呈東西向之長方形,車站長約222.85公尺,寬約21.15公尺,地下開挖深度約19.2~21.85公尺,採明挖覆蓋工法施作。
        橫渡線位於菜寮站西端至忠孝高架道路間,為地下一層之結構物,長度為106公尺,寬度為21.2公尺,開挖深度為19.2公尺,採明挖覆蓋順打方式施工。
        另該車站南側有一聯合開發基地,該基地位於重新路三段與光明路交叉口東南角,沿重新路三段面寬約72m,深度約21m,呈長方形,基地面積為1451㎡,全部屬聯合開發之範圍。

三、土層狀況與地下水狀況

        本工程之地勢平坦,地表高程約為102.5m~103.5m (以基隆平均海水面訂為100m為基準),其主要係位於台北盆地第四紀沖積層上方之松山層內,松山層厚度約61公尺,其典型之地層特色為粘土與砂之互層,若由地表下深度約61m之景美卵礫石層頂面起算向上可將地層概分為六個次層,其中第一、三、五次層為砂性土壤,第二、四次層為粘性土壤,一般典型的台北盆地松六層在本工址已不明顯或較薄。
        工址之地表下1.0~3.0m為表土層,其下為1~6.6m厚之粉土質黏土層;粉土質黏土層之下為8~14m厚之砂土層;砂土層下為中等堅硬之粉土質黏土或黏土質粉土為主,厚約8~13.5m;黏土層下之地層則稍嫌凌亂,主要由粉土質砂或砂質粉土夾粉土質黏土所構成,厚約33~37公尺;卵礫石層出現深度大致上位於地表下61m以下,該工程之簡化地表層剖面詳表一、圖二。
        本工程沿線之地下水位約位於地表下0.2公尺至1.6公尺之間,地表下17.0公尺以上之地下水壓約呈靜態水壓力分佈(詳圖三)。其相對總水頭之變化見圖四,而於地表下58公尺以下之地下水壓比靜態水壓之分佈約低6m,此現象可能為台北盆地景美層之地下水被超抽所致。


四、連續壁測試單元說明

(一) 工址選擇
        為確保連續壁之測試單元不危及鄰近之建物,故考量整體之施工環境及與鄰房之相互距離後,廠商選擇位於站體與聯合開發基地交界處之連續壁母單元為首塊試驗單元(編號為F102)及該單元兩側各二單元(編號為F100、M101、M103、F104)等五個單元作為試驗單元(詳圖五),其距離鄰房約有27m,原規劃測試單元之施做順序依序為F102、F100、F104、M101、M103。
(二) 施工機具
        本工程採用之挖掘機具為油壓抓斗式之MHL 80120 AY機具,該機具係綜合歐美之油壓抓掘機及日本BW之導板、偏微計而發展出的連續壁抓掘機,其以履帶吊車為基本主機,並藉由強力油壓方式進行抓斗閉合,其精度可達1/500以上且可抓掘N值超過100之地質。MHL 80120 AY 主要配件規格詳表二至表四:

        其餘機具設備如下:
        1. 運土中型卡車一部。
        2. 履帶吊車一部(視鋼筋籠重量而定)。
        3. 4"抽水機二部。
        4. 接頭沖洗用扁鐵,及沖錘各一組。
        5. 挖土機一部。
        6. 灌漿用特密管,特密管夾及漏斗。
        7. 吊鋼筋籠鋼索組一組。
(三) 材料:
        1. 穩定液:
        本施工標連續壁測試單元係採用統偉公司所供應之高分子聚合物穩定液【超泥漿(Neat VisNV-220)】,依該公司提供在Ph=7、含砂量=0%時,以自來水稀釋各種配比之黏滯度之情形詳表五及圖六。
        而廠商依現地需求調整拌合水之Ph=10.5(加入鹼塊),再加入高分子聚合物分別泡製1/3000、1/5000、1/7000三種配比穩定液,經檢測結果均能符合規定 (詳表六),而廠商挑選1/5000做為實際操作之配比拌合新液,後續則將依開挖作業中之變化差異來適時調整各項檢測值,以期連續壁單元作業中均能符合契約規範之要求。

(四) 超音波檢測程序
        1. F102首塊單元抓掘過程中若無異常現象,第一刀分別於GL-20.0m(略深於連續壁兩側JSP樁底部)及GL-38.0m(設計連續壁壁底)進行超音波之檢測。
        2. 第二滿刀抓掘至設計底部後,分別針對第一、二刀進行超音波之檢測。
        3. 第三洗刀抓掘時,分別於GL-20.0m及-38.0m處針對該單元中心位置進行超音波之檢測。
        4. 上述步驟完成後,進行後續鋼筋籠吊放及混凝土澆注,即完成本單元之試驗作業。
        5. 後續母單元(F100、F104)則於第一刀及第三洗刀抓掘至GL-38.0m時,進行超音波之檢測。
        6. 後續公單元(M101、M103)則於中間一洗刀抓掘至GL-38.0m時,進行超音波之檢測。
(五) 測試單元施工情形
        1. F102母單元
        (1) 施作時程:11/13 10:30~11/15 19:08,約費時56.5時。
        (2) 穩定液管理如下:
        A.比重:1.005~1.02
        B.黏滯度:34~46秒
        C.含砂量:0~0.1%
        D.Ph值;10.1~10.5
        (3) 槽溝抓掘:(超音波詳圖七)
        A.第一刀:除GL-2~-5m處之開挖側有微坍外,其餘垂直精度良好。
        B.第二刀:第二刀抓掘中發生偏微計故障,而導致挖掘作業停止,待修期間廠商分別進行二次超音波之檢測工作,檢測結果位於第一刀GL-2.5~-11m處之擋土側壁面有些許剝落,研判係因開挖後偏微計損壞至修護完成期間,該壁面懸置長達23小時,致附著於JSP樁之薄層砂土掉落所造成。
        C.第三刀:完成抓掘後進行超音波之檢測,檢測結果壁面狀況並無明顯變化。
        (4) 垂直精度均在1/300以內。
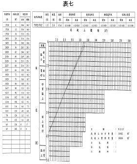
         (5) 混凝土澆置(詳灌漿記錄曲線表七):
        A.估計用量:134.82m3
        B.實際用量:140.00m3
        C.灌漿記錄曲線與超音波圖比較:混凝土超用區域(GL-11~0m)與超音波圖顯示結果大致符合。
         (6) 檢討:
        本單元施作時間長達56.5小時,主因係新組立之機具故障、檢修調整所致,施工過程並無特殊狀況。
        2. F104母單元
        (1) 施作時程:11/16 00:45~11/17 24:00,約費時47.5時。
         (2) 穩定液管理:
        A.比重:1.005~1.006
        B.黏滯度:35~44秒
        C.含砂量:0.01%
        D.Ph值;10.2~10.8

         (3) 槽溝抓掘:(超音波詳圖八)
        A.第一刀:挖掘至GL-5~-13m處之擋土側疑遭遇JSP樁體,廠商採以抓斗邊衝擊、邊抓掘之方式進行,然因該衝削作業,導致造成該區域壁體有擴大之情形,俟挖掘深度超過GL-13m後抓掘正常,且壁面狀況穩定、垂直精度良好。
        B.第二刀:狀況與第一刀類似,亦於GL-5~-13m疑遭遇兩側JSP樁體入侵而影響壁體開挖,俟開挖深度超過GL-13m後抓掘即正常,且壁面狀況穩定,整體垂直度尚在1/300以內。
        C.第三刀:抓掘狀況同第一、二刀,壁面狀況均穩定,無明顯變化。
         (4) 混凝土澆置(詳灌漿記錄曲線表八):
        A.估計用量:134.82m3
        B.實際用量:156.00m3
        C.灌漿記錄曲線與超音波圖比較:混凝土澆置至GL-17m時
,於該單元西端發生漏漿情形,廠商研判係於鋼筋籠吊放時其包覆於外之帆布,遭JSP樁體刮破所致,另GL-5~-13m處之壁體疑遭遇兩側JSP樁體入侵而影響壁體開挖,且因衝削穿越JSP之緣故,致該段壁體有擴大而增加混凝土之用量。
        E.檢討:
        疑JSP樁體侵入連續壁之範圍,致廠商於進行抓斗抓掘槽溝時有相當之困難性,雖經採衝削整修之方式進行,仍導致開挖壁面有擴大之情形,惟完成之壁體經檢測後仍能維持相關穩定之狀態。


        3. F100母單元
        (1) 施作時程:11/18 16:30~11/22 08:30,約費時88時。
         (2) 穩定液管理:
        A.比重:1.005~1.01
        B.黏滯度:34~43秒
        C.含砂量:0.01~0.25%
        D.Ph值;10.1~10.9
         (3) 槽溝抓掘:(詳超音波圖九)
        A.第一刀:抓掘至約GL-7m處之擋土側仍疑遇JSP樁體,經廠商採以抓斗邊衝擊、邊抓掘之方式進行至GL-18m處後即抓掘正常,惟該段壁體有擴大之情形,且其垂直精度勉強符合1/300之要求。
        B.第二刀:狀況與第一刀完成時類似。
        C.第三刀:JSP樁體無侵入,抓掘順利,垂直精度控制在1/300以內。
         (4) 混凝土澆置(詳灌漿記錄曲線表九):
        A.估計用量:134.82m3
        B.實際用量:145.00m3
        C.灌漿記錄曲線與超音波圖比較:混凝土超用區域(GL-20~0m)與超音波圖顯示結果大致符合。
         (5) 檢討:
        疑JSP樁體侵入連續壁之範圍,致廠商於進行抓斗抓掘槽溝時有相當之困難性,雖經採衝削整修之方式進行,仍導致開挖壁面有擴大之情形,惟完成之壁體經檢測後仍能維持相關穩定之狀態。

        1. M103公單元
        (1) 施作時程:11/22 12:30~11/24 00:32,約費時36時。
         (2) 穩定液管理:
        A.比重:1.01
        B.黏滯度:36~46秒
        C.含砂量:0.01%
        D.Ph值;10.1~10.5
         (3) 槽溝抓掘:(詳超音波圖十)
        單一洗刀:
        a.由於F104單元西側進行混凝土澆置時發生漏漿之情形,故將原規劃最後進行之連續壁M103提前進行洗刀抓掘及單元接頭清理作業,另M101則調整為最後一個單元。
        b.抓掘過程順利無障礙,惟GL-2~-20m壁面有土體剝落現象,GL-20m以下則狀況穩定正常,另與兩端相鄰母單元之端版,尤以與F104相接之漏漿處經超音波檢測結果,顯示均已處理乾淨,垂直精度控制在1/300以內。
         (4) 混凝土澆置:(詳灌漿記錄曲線表十):
        A.估計用量:224.7m3
        B.實際用量:232.0m3
        C.灌漿記錄曲線與超音波圖比較:混凝土超用區域與超音波圖顯示結果大致符合。
         (5) 檢討:
        A.GL-2~-20m壁面有土體剝落現象,廠商研判應是附著於JSP樁之薄層土體脫離所致。
        B.鋼筋籠原為M101單元,因受F104澆置混凝土產生漏漿之意外,故重新製作本單元之連續壁鋼筋籠,而有所耽誤時程。
        4. M101公單元
        (1) 施作時程:11/24 07:30~11/25 04:12,約費時20.5時。
         (2) 穩定液管理:
        A.比重:1.01
        B.黏滯度:32~39秒
        C.含砂量:0.01~0.025%
        D.Ph值;9.2~13.5
         (3) 槽溝抓掘:(詳超音波圖十一)
        單一洗刀:抓掘過程順利無障礙,惟GL-2~-18m壁面有土體剝落現象,GL-18m以下則狀況穩定正常,另與兩端相鄰母單元之端版均處理乾淨,但東西兩側相鄰母單元端版微略呈”八”字,垂直精度控制在1/300以內。
         (4) 混凝土澆置:(詳灌漿記錄曲線表十一、十二)
        A.估計用量:232.19m3
        B.實際用量:276.00m3
                  (5) 檢討
        GL-2~-18m壁面有土體剝落現象,研判應是附著於JSP樁之薄層土體脫離所致。


五、監測與結果分析

(一) 儀器監測的佈設:
        為配合本次連續壁測試單元之施作,於該區共設置1支土壤中傾度管、35個地面沉陷點(詳圖十二)。

(二) 儀器頻率:
        1. 首塊單元壁體開抓前須完成測定土壤中傾斜儀及沉陷點之初始值。
        2. 單元開挖及澆置混凝土期間每隔6hr量測沉陷及側向變位一次,直至5個單元連續壁均施工完成後,再改為每天量測一次(詳表十三~十五)。
        3. 沉陷量測結果預估應不超過10mm,否則連續壁作業須採取必要改善措施,以使本工程之所有施工作業所引起之總沈陷量能符合契約規定之限度內。



(三) 監測結果與分析:
        1. 壁體外土壤傾度管SIS6301最大位移發生於施作F100時,位移量為19.02mm,發生之深度位置為21.5m。
        2. 地面最大沉陷量為11.1mm,發生之點位有兩處,分別為SM6317、SM6312,該最大沉陷量發生於施作M103及M101時。
        3. 有關本次測試單元之開挖所造成之沉陷量及位移量,研判係受JSP入侵而進行沖削作業,致施工工期遠較原預估之工期為長,且該沖削作業所產生之震動造成地層產生較大的水平變形量及週邊沉陷,若未來改採非振動工法將可大幅減少變形及沉陷。

六、檢討與改善方案

         (一) 壁體穩定工法JSP樁(詳見筆者發表於現代營建338期連續壁槽溝穩定輔助工法-JSP施工法簡介):連續壁槽溝穩定輔助工法-JSP樁確實有效達到於砂質土層維護開挖槽溝壁面穩定之功效,然因JSP樁尚有諸多無法掌控因素致使JSP樁無法達到原預期之目標,如:樁體疑似侵入連續壁範圍造成施工困擾,且JSP於砂質土層時,其樁體強度超出預期甚多,致增加衝削困難度,故廠商對於後續JSP樁施作將修正配比及管理值(詳表十六、十七);另對於已完成之JSP需進行敲除作業之部份將採用非振動工法(如: TRC工法等)


         (二) 高分子聚合物穩定液:經5個試驗單元施作驗證結果,前刀已抓掘完成GL-18m以下無JSP樁輔助懸置之槽溝,在次刀衝削修正侵入連續壁範圍之JSP樁時仍能長時間維持壁面穩定,故驗證高分子聚合物穩定液可有效發揮穩定開挖壁面,以避免崩坍之危險,惟高分子聚合物穩定液再回收使用時,因受混凝土中Ca離子影響,使PH值升高之情形,因此再回收使用時,該回收之穩定液應加水及新拌藥劑中和Ca離子,使PH值符合合約規範要求。
         (三) 壁體垂直精度:位於GL 0~-18m處之連續壁壁體雖疑受JSP樁入侵及衝削修正之影響,致壁面平整度較差,甚至造成連續壁壁體加厚及混凝土超用之情形,但經整修後大致控管在契約規定垂直精度1/300以內;另GL-18~-38m處之壁體因受穿越JSP樁之影響,致位於GL-18~-20m處之壁體有稍微偏離外,其餘部份之壁體均相當精確且平整。
         (四) 混凝土澆置:除F104母單元因包覆之帆布疑受JSP樁刮損,導致漏漿而造成相鄰之M103公單元需隨後進行清理端版接頭作業外,其餘單元施作正常。

七、結論

        臺北捷運新莊線CK242標菜寮站之測試單元雖未達原預期之目標,但其所衍伸的各項狀況確使的業主及廠商得以儘早重新檢討、改善及因應,使其後續連續壁之工作得以順利進行,再此亦在此將該經驗與各位工程先進分享。■